联络我们
預約
专科门诊及中心服务预约
营养部服务预约
眼科讲座预约
体检中心服务预约
肿瘤科服务预约
放射部服务预约
复康中心服务预约
其他服务请浏览
服务概覧
二十四小时门诊不设预约
查看全部
医院病人须知
查看全部
戒备应变级别
查看全部
二十四小时门诊不设预约
查看全部
医院病人须知
查看全部
戒备应变级别
查看全部
首页
医生专区
职位空缺
繁
简
EN
搜尋
联络我们
預約
专科门诊及中心服务预约
营养部服务预约
眼科讲座预约
体检中心服务预约
肿瘤科服务预约
放射部服务预约
复康中心服务预约
其他服务请浏览
服务概覧
繁
简
EN
首页
医院简介
有关圣保禄医院
本院设施
牧灵部
企业社会责任
认证
医院资讯
服务概览
收费
本院医生
本院医生
客席医生
荣誉顾问医生
最新消息
健康资讯
表格
医生专区
职位空缺
搜尋
联络我们
預約
专科门诊及中心服务预约
营养部服务预约
眼科讲座预约
体检中心服务预约
肿瘤科服务预约
放射部服务预约
复康中心服务预约
其他服务请浏览
服务概覧
繁
简
EN
二十四小时门诊不设预约
查看全部
医院病人须知
查看全部
戒备应变级别
查看全部
二十四小时门诊不设预约
查看全部
医院病人须知
查看全部
戒备应变级别
查看全部
首页
>
收费
>
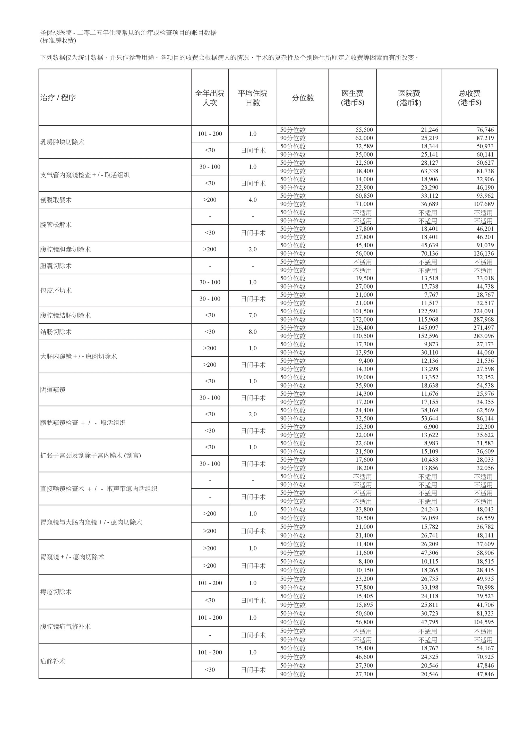
住院常见的治疗或检查项目的账目数据
住院常见的治疗或检查项目的账目数据
收费
Historical Bill Size for Common Treatments Procedures
住院常见的治疗或检查项目的账目数据
返回
住院
住院须知及病人指引
优质私家套房
私家套房
私家房
半私家房
标准房 (三至四人)
妇产科住院房及育婴部
儿科住院房
深切治疗部
隔离分流住院房
门诊
门诊
耳鼻喉科中心
眼科中心
综合专科中心
外科中心
二十四小时门诊部 (普通科)
专科门诊部
妇产科专科门诊
牙科中心
放射治疗及肿瘤科中心
服务
服务
住院服务
二十四小时门诊部 (普通科)
专科门诊部
牙科中心
耳鼻喉科中心
眼科中心
妇产科专科门诊
外科中心
综合专科中心
放射治疗及肿瘤科中心
颐康天地
心脏及血管中心
内镜中心
体检中心及电子诊断中心
深切治疗部
手术室
病理化验部
药剂部
放射部
营养及膳食部
复康中心
肾科透析中心
泌尿中心
伤口及造口专科护理服务
关闭
Your browser does not support HTML5 video.
关闭
热门搜寻
医院位置及前往医院
二十四小时门诊
探访时间/政策
身份证明文件
二十四小时门诊
普通科诊症服务
不设预约
,可随时莅临登记求诊。
浏览病人约章、收集个人资料声明及病人权益与责任
戒备应变级别